A publicação chinesa Expreview comparou o desempenho das placas de vídeo GeForce RTX 5090D V2 e GeForce RTX 5090D. Ambas foram lançadas especificamente para o mercado chinês e, inicialmente, apresentam desempenho inferior ao modelo original GeForce RTX 5090, lançado para o mercado global.

Fonte da imagem: visualização

A principal diferença entre a RTX 5090D e a RTX 5090D V2 é a quantidade de memória de vídeo. A segunda versão recebeu apenas 24 GB de memória GDDR7 em vez dos 32 GB da RTX 5090D. Consequentemente, a largura do barramento de memória diminuiu de 512 para 384 bits (em comparação com a RTX 5090 original e a primeira RTX 5090D). Ao mesmo tempo, o número de núcleos CUDA permaneceu o mesmo: 21.760, e o consumo de energia declarado é o mesmo: 575 W. Fora isso, as características de ambas as placas de vídeo são idênticas.

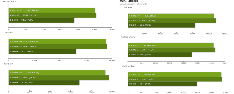
Desempenho em testes 3DMark

Nos benchmarks de jogos do 3DMark, as placas RTX 5090D e RTX 5090D V2 apresentaram diferenças mínimas de desempenho, com média de cerca de 2%. O único destaque foi o teste DirectX 12 Ultimate Speedway, onde a versão com menos memória de vídeo ficou cerca de 3,6% atrás.

Desempenho nos jogos

O desempenho em jogos entre as placas é praticamente idêntico, com uma diferença de apenas 1% a 2%, o que pode ser atribuído a erros de medição e diferentes versões de vBIOS. A maior diferença é observada em Black Myth Wukong com configurações Cinematic, mas mesmo aqui a RTX 5090D supera a RTX 5090D V2 em apenas 3,7%.

Desempenho nos jogos

Em testes de IA e produtividade, a RTX 5090D V2 com 24 GB de memória foi notavelmente mais lenta do que a RTX 5090D com 32 GB. Nos testes de geração de texto UL Procyon, a diferença de eficiência chegou a 10%, o que não favoreceu a RTX 5090D V2. Em testes com modelos de linguagem grandes (LLM), a versão de 32 GB apresentou desempenho até 8% melhor. Ao trabalhar em Difusão Estável para geração de imagens, ambas as placas apresentaram resultados muito próximos.

Desempenho de IA

Testes de produtividade

No Blender Benchmark, que mede o desempenho da produtividade, a diferença entre as placas foi de 10% a 19%, favorecendo o modelo com mais memória. No entanto, ambas as versões superaram significativamente a RTX 4090 da geração anterior na exportação de vídeo, já que a RTX 5090D e a RTX 5090D V2 contam com um codificador triplo de 9ª geração, enquanto a RTX 4090 utiliza apenas um codificador duplo de 8ª geração.

By admin

Deixe um comentário

O seu endereço de e-mail não será publicado. Campos obrigatórios são marcados com *