De acordo com um estudo publicado pelo Instituto de Engenheiros Elétricos e Eletrônicos (IEEE) na revista Transactions on Cloud Computing, o processador Yitian 710 do Alibaba é atualmente o chip de servidor baseado em Arm mais poderoso disponível em várias plataformas de nuvem, relata o The Register.
O produto Yitian 710 foi criado pela T-Head especificamente para as necessidades do Alibaba Cloud e estreou em 2021. Este processador baseado em Armv9 de 5 nm possui até 128 núcleos com uma frequência de até 3,2 GHz. Fornece suporte para oito canais de memória DDR5 e 96 pistas PCIe 5.0. Ao mesmo tempo, os chips são caracterizados por alta eficiência energética. A Alibaba Cloud espera transferir um quinto de sua capacidade para seus próprios chips Arm até 2025.
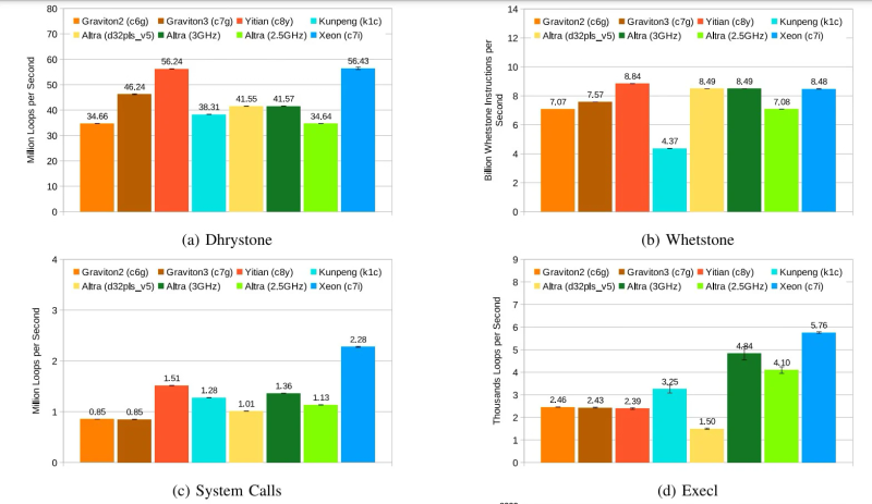
Durante o estudo, o chip Yitian 710 em configuração de 64 núcleos foi comparado com os processadores Arm Amazon Graviton 2/3 (64 núcleos), Huawei Kunpeng 920 (60 núcleos) e Ampere Altra (80 núcleos), bem como o x86 Chip Intel Xeon Platinum geração 8488C Sapphire Rapids.
Fonte da imagem: The Register
Os testes foram realizados em vários ambientes de nuvem, incluindo Amazon Web Services (AWS), Alibaba Cloud, Huawei Cloud, Microsoft Azure, Google Cloud Platform. O desempenho foi avaliado ao realizar diversas tarefas: os benchmarks clássicos Dhrystone e Whetstone, uma série de chamadas de sistema do kernel e chamadas execl, velocidade de cópia de arquivos, o indicador UnixBench, assinaturas e autenticação usando o algoritmo criptográfico RSA 2048, bem como trabalho com um SGBD .
Conforme observado, em quase todos os testes listados, o processador Alibaba ficou à frente dos chips concorrentes com arquitetura Arm. Nas tarefas Whetstone, o Yitian 710 também superou o processador Xeon Platinum e o chip Altra. Ao mesmo tempo, o Graviton 3 mostrou superioridade no teste Redis. No entanto, o Yitian 710 manteve a sua vantagem em duas das três tarefas do RocksDB.
Em termos de eficiência, os chips Arm exigem mais chamadas de sistema do que seus concorrentes da Intel. Mas em alguns casos de uso, as soluções Arm ainda são preferíveis.
